公司动态

洁净区环境监测(浮游菌微生物)如何操作 附详细检测流程
2023-12
洁净区环境监测(浮游菌)如何操作
洁净区洁净等级划分为:A级:指高风险操作区,如:灌装、放置胶塞桶、敞口安瓿瓶、敞口西林瓶的区域及无菌装配或连接操作的区域。通常用层流操作台(罩)来维持该区的环境状态。

B级:指无菌配制和灌装等高风险操作A级区所处的背景区域。

C级和D级:指生产无菌药品过程中重要程度较次的洁净操作区。

洁净区环境监控
监控对象包括空气、表面和人员。监测项目包括温湿度、压差、风量风速、悬浮粒子、微生物监测等。其中,微生物监测包括空气微生物监测、表面微生物监测以及人员卫生监测。

空气微生物的测定有浮游菌和沉降菌两种测定方法。

表面微生物监测用来监测生产区域表面以及设备和与产品接触表面的微生物数量。

人员卫生监测的关键是手套和洁净服表面的微生物监测。

今天中邦兴业小编跟大家分享一下浮游菌监测的仪器、方法及注意事项。

浮游菌
1 取样前准备工作
  • 依据检测区域的取样点数,按照《培养基配制、灭菌标准操作程序》制备适量的营养琼脂培养基。
  • 在超净工作台内,以无菌操作法将配制好的营养琼脂培养基以每皿约15ml的装量分装,待培养基凝固后移出洁净区。
  • 将制备的营养琼脂平皿倒置于隔水式恒温水浴培养箱内于30~35℃培养48小时。取出逐个检查,确认无菌落数后即可使用。
2 采样
将上述制备好的营养琼脂平皿交与QA人员取样。
3 仪器、设备和培养基
浮游菌采样器、培养皿(φ90mm×15mm)、培养基(营养琼脂培养基)、恒温培养箱
4 仪器、设备、培养基的要求
浮游菌采样器必须要有流量计和定时器。应严格按仪器说明书的要求进行操作。采样器必须按仪器的检定周期,定期对仪器作检定,以保证测试数据的可靠性,检验项目有:定时器,转盘转速,流量计。每次测试前应先接通电源,启动真空抽气泵,然后调节流量计和定时器。空气采样量根据需要选定,已知采样器的流量(L/min),设定采样时间(min)两者相乘即得采样量(L)。采样口必须用便于消毒及化学性能稳定的材料制造,采样管严禁渗漏,内壁应光滑,采样管的长度应根据测定点的高度定,尽量减少弯曲。
5 测试方法
测试用仪器、培养皿表面必须严格消毒。采样器进入被测房间前先用消毒剂灭菌。用消毒剂擦净培养皿的外表面。采样前,先用消毒剂消毒采样器的顶盘、转盘以及罩子的内外面,采样结束再用消毒剂轻轻喷射罩子的内壁和转盘。采样口及采样管使用前必须高温灭菌,如用消毒剂对采样管的外壁、内壁进行消毒,应将管中的残留液倒掉并晾干。采样者应穿戴与被测洁净区域相应的工作服,在转盘上放入或调换培养皿前,双手用消毒剂消毒。
6 采样程序
仪器经消毒后先不放入培养皿,开动真空泵抽气,使仪器的残余消毒剂蒸发,时间不少于5min,并调好流量、转盘转速。关闭真空泵,放入培养皿,盖上盖子后调节采样品缝隙高度。置采样器于采样点后,开启采样器、转动定时器,根据采样量设定采样时间。
7 测试状态
浮游菌测试前微生物限度检查室已经消毒过。测试状态为静态测试,并在报告中注明测试状态。
8 测试人员
测试人员必须穿戴符和被测环境级别的工作服。静态测试时,室内人员不得多于2人。
9 测试时间
对单向流,测试应在净化空调系统正常运行不少于10min后开始。对非单向流,测试应在净化空调系统正常运行不少于30min后开始。最少采样点数目及其布置,最小采样量,见下表:

工作区测点位置离地0.8m~1.5m左右,送风口测点位置离开送风面30cm左右;可在关键设备或关键工作活动范围处增加测点。每个采样点一般采样一次。对于单向流或送风口,采样器采样管口朝向应正对气流方向;对于非单向流,采样管口向上。布置采样点时,至少应离开尘粒较集中的回风口1m以上。采样时,测试人员应站在采样口的下风侧。
10 培养
取样结束后将平皿复倒置隔水式恒温水浴培养箱内于30~35℃培养48小时。并以未采样的营养琼脂平皿作对照皿。菌落计数:用肉眼直接计数,然后用5-10倍放大镜检查,是否遗漏。若培养皿上有2个或2个以上菌落重叠,可分辨时,仍以2个或2个以上的菌落计数。培养结束,将上述培养后的平皿取出,逐个点计菌落数,必要时用放大镜检查,并记录。

11 结果计算
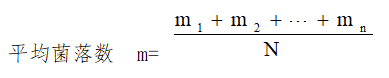
平均菌落数的计算见下式:
式中: m为该房间(或区域)的平均菌落数;

m1、m2‥‥‥mn为该房间(或区域)各取样点的菌落数;

N为培养皿总数

记录:测试报告中应记录房间温度、相对湿度、压差、测试状态及测试数据。

如果您有洁净室浮游菌微生物检测相关问题,可以随时与我们沟通,专业技术工程师可随时为您进行一对一解答。



首页

关于我们

产品中心

电话咨询